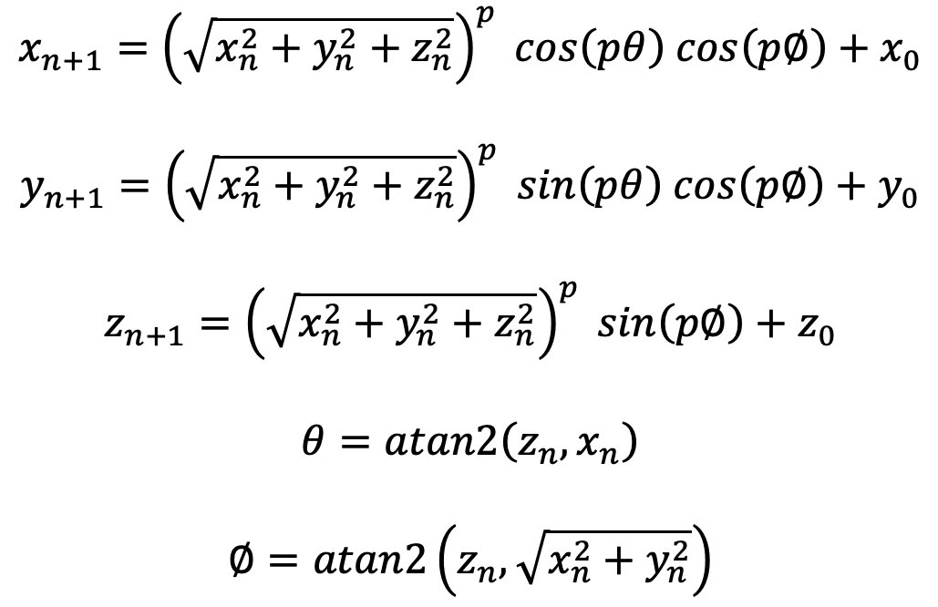
Miscellaneous volumetric fractals

Renderings by Paul Bourke
Inspired from postings by Roger Bagula and Chris Thomasson
April 2026


Example 1


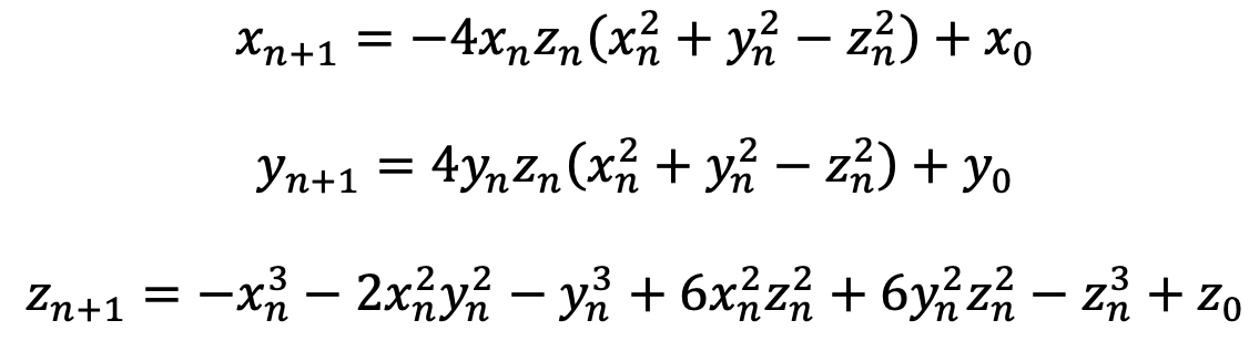
Example 2

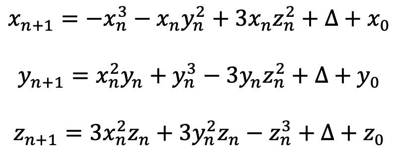
Example 3


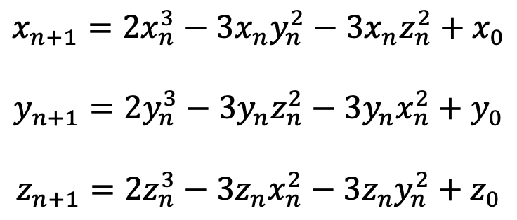
Example 4


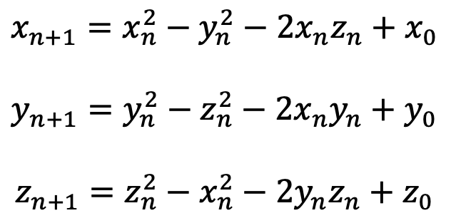
Example 5